Rıza Akpolat'ın ifadesi ortaya çıktı: 'Rüşvet istedi' diyen iş insanı, bakana 10 Milyon dolar vermiş
Halktv.com.tr - ÖZEL
İstanbul Cumhuriyet Başsavcılığı tarafından, Beşiktaş Belediye Başkanı Rıza Akpolat hakkında, "Boğaz’daki kaçak yapılaşmalar için rüşvet istendiği" iddiaları üzerine soruşturma başlatıldı.
Rıza Akpolat hakkında bir tutuklama talebi daha
BİR KEZ DAHA TUTUKLANMASI İSTENDİ
Aziz İhsan Aktaş Suç Örgütü soruşturması kapsamında ocak 2025’te tutuklanan ve 415 yıla kadar hapsi istenen Akpolat, ifadesinin alınması için İstanbul Adliyesi'ne getirildi. Savcılık, Rıza Akpolat'ı tutuklanması talebiyle Sulh Ceza Hakimliğine sevk etti. Savcılığın sevk yazısında Akpolat’ın, bazı iş insanlarından rüşvet talep ettiğine ilişkin somut delillere dayalı kuvvetli suç şüphesi bulunduğu öne sürdü.
İFADESİ ORTAYA ÇIKTI
Rıza Akpolat'ın savcılık ifadesine Halktv.com.tr ulaştı. Serdar Bilgili'nin 27 Kasım 2025 tarihinde savcılığa verdiği ifadede, "ruhsat işlemlerinin çözülmesi karşılığında belediyenin aşevine bağış adı altında 500 bin dolar istedi" iddiası sorulan Akpolat, bu iddiayı yalanlayarak, Serdar Bilgili'nin kendisiyle paylaştığı bir anısını anlattı.
"RÜŞVET" İDDİASINDA BULUNAN İŞ İNSANI BAKANA 10 MİLYON DOLAR VERMİŞ
Bilgili’nin zaman zaman kendisini ziyaret ettiğini belirten Akpolat, "Serdar Bilgi bir defasında bana Akaretler bölgesinde yaşadığı sıkıntıdan bahsetti. Bakanlığın sorun çıkardığını söyledi. Turizm Bakanı'nın arkadaşı olduğunu, buna rağmen 10 milyon dolar para istediğini, parayı verdiğini ancak işinin çözülmediğini, hem Turizm Bakanı'na hem de Çevre ve Şehircilik Bakanlığı'na sinkaflı sözler sarf ederek anlattı" dedi.
"HUSUMET BESLEDİĞİ İÇİN İFTİRA ATIYOR"
Belediyenin Akaretler bölgesindeki çevre düzenlemesi ve işgaller konusundaki tavrının Bilgili'yi rahatsız ettiğini söyleyen Akpolat, ifadesinde şunları kaydetti:
"Akaretler bölgesinde haksız işgallere son vermek istedik, vatandaşın da bu yönde bir talebi vardı. Yapacağımız çevre düzenlemesi üzerine Serdar Bilgili belediyeye ziyaretime geldi. Bölgeye çok yatırım yaptıklarını, bu düzenleme nedeniyle zarara uğrayacaklarını söyledi. Ben de talebini kabul etmedim. Bunun üzerine şahsıma husumet beslemeye başladı. Kendisinden istenilen ya da kendisinin vermiş olduğu bir para yoktur, yalan söylemektedir."
İşte Rıza Akpolat'ın Serdar Bilgili ile ilgili savcılıkta verdiği ifade:

SERDAR BİLGİLİ'NİN AVUKATINDAN AÇIKLAMA
Akpolat'ın, kendisinden 500 bin dolar para istediği iddiasını ortaya atan iş insanı Serdar Bilgili'nin avukatı Doğukan Bora Savaş, habere ilişkin bir açıklama gönderdi. Açıklama şöyle:
"09 Ocak 2026 tarihinde halktv.com.tr adresinde yayınlanan haber içeriğinde; Beşiktaş Belediye Başkanı Rıza Akpolat’ın savcılık ifadesine dayandırılarak müvekkilimiz Serdar Bilgili hakkında tamamen asılsız iddialara yer verildiği görülmüştür.
Söz konusu haberde; müvekkilimizin Rıza Akpolat’a, "Akaretler bölgesinde yaşadığı sıkıntılardan bahsettiği, Bakanlığın sorun çıkardığını söylediği, Turizm Bakanı'nın arkadaşı olmasına rağmen 10 milyon dolar para istediğini, parayı verdiğini ancak işinin çözülmediğini beyan ettiği ve hem Turizm Bakanı'na hem de Çevre ve Şehircilik Bakanlığı'na yönelik hakaretamiz sözler sarf ettiği" şeklinde, gerçeklikle hiçbir ilgisi olmayan, hayal mahsulü ifadeler kullanıldığı iddia edilmiştir.
Müvekkilimiz Serdar Bilgili’ye atfedilen bu ifadeler, baştan sona kurgu ve açık bir iftiradan ibarettir. Müvekkilimiz ile Rıza Akpolat arasında bu minvalde bir görüşme kesinlikle gerçekleşmediği gibi; Kültür ve Turizm Bakanlığı ya da Çevre, Şehircilik ve İklim Değişikliği Bakanlığı dahil olmak üzere, hiçbir devlet kurumu veya bakan ile ilgili haberde geçen tarzda bir konuşma da yapılmamıştır.
Kamuoyunu yanıltmaya yönelik bu gerçek dışı iddialar, müvekkilimizin kişilik haklarına ve ticari itibarına ağır bir saldırı niteliğindedir. Bu açık iftiraya karşı, Pazartesi günü itibarıyla tüm yasal haklarımızı kullanacağımızı, maddi ve manevi tazminat talepli davalar dahil olmak üzere gerekli hukuki ve cezai süreçlerin ivedilikle başlatılacağını bildiririz.
Gereğini bilgilerinize sunarız."
VAKIFLAR GENEL MÜDÜRLÜĞÜNDEN AÇIKLAMA
Vakıflar Genel Müdürlüğü'de konuya ilişkin açıklama yaptı. Açıklamada, Rıza Akpolat'ın, iş insanı Serdar Bilgili'nin kendisine anlattığı "Bakanlık benden 10 milyon dolar istedi" ifadesi hakkında şu sözlere yer verildi:
"Vakıflar Genel Müdürlüğü tarafından Akaretler Turizm Yatırımları A.Ş.'ye kiralanan mazbut vakıf mülküne ilişkin kamuoyuna yansıyan yalan iddialar hakkında açıklama yapma gereği görülmüştür.
İddialara ilişkin haberde yer alan ifadeler gerçeği yansıtmamaktadır. Gazi Sultan Abdülhamid Han-ı Sani Vakfına ait taşınmazın kiracılık hakları Akaretler Turizm Yatırımları A.Ş. uhdesindedir.
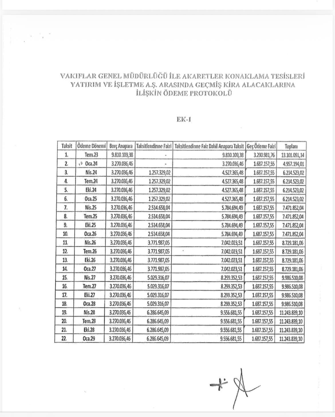
Vakıflar Genel Müdürlüğü Müfettişleri tarafından yapılan inceleme sonucunda kiracı şirketin eksik kira ödemesi yaptığı tespit edilmiştir. Oluşan zararın tahsil edilmesi amacıyla ilgili şirketten geriye dönük 152.920.616,10 TL'si ana para olmak üzere 192.640.826,35 TL resmi kanallar aracılığıyla tahsil edilmiş ve Vakıflar Genel Müdürlüğü'ne gelir olarak kaydedilmiştir
Ayrıca düzenlenen Müfettiş raporu sonrasında ilgili taşınmazın yıllık kirası 8.716.164,54 TL iken şirket cirosuna endekslenmiş ve yıllık asgari 1.2 milyon USD karşılığı Türk Lirası olarak belirlenmiştir. Söz konuş kira ödemeleri düzenli şekilde Vakıflar Genel Müdürlüğü banka hesapları aracılığı ile tahsil edilerek bütçeye gelir kaydedilmektedir.
Kamuoyuna saygıyla duyurulur."
Vakıflar Genel Müdürlüğü, söz konusu ödemelere ilişkin tabloyu da paylaştı. İşte ödeme tablosu:

